Cauchy law

Dependence of the refractive index with wavelength

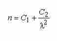
L'indice de réfraction d'un matériau dépend de la longueur d'onde traversant le milieu. Soit C1 et C2 deux constantes, Cauchy a déduit expérimentalement:
Selon cette formulation on remarque que les rayons violets seront plus réfractés que les rouges.




Comments and suggestions for this site are very welcome:
© 2000 - All rights reserved, Daniel Chateigner